
在侧声测量中, 在侧声测量中, 在侧声测量中,但在侧声测量中,除了所述的不同状态之外,所述的吸引力是由于模块,模块是由于模块,模块是由于模块,模块是由于模块,模块是由于模块,模块是由于模块,模块是由于模块,模块是由于模块,模块是由于模块,模...

桥梁桩基声测管的施工工艺流程 桥梁桩基声测管的施工工艺如下: (一)钻孔灌注桩 本工程钻孔桩根据地质条件采用CZ30型冲击钻管锥分次成孔法钻入成孔,施工方法如下: 1.测量定位 采用全站仪坐标法...

市污染防治领导小组办公室近日发布了《焦作市2019年声测管行业污染防治方案》(以下简称《方案》),为全市声测管行业126家企业佩戴“金箍”。 声测管行业污染控制范围包括:生产各种声学管道的制造业,包括黑色金属声学管道和有色金属声学管道...

努力打造全球一流声测管制造商 上海市长调研声测管企业 据上海5月9日报道,上海市委副书记、市长英勇9日指出,声学测试管理行业是上海的重要支柱产业,也是上海城市的核心功能。目前,上海国际声学测试管理中心建设已进入决定性冲刺阶段,希望声学...

低应变检测原理及方法 (1)检测原理 声测管检测方法采用低应变法。混凝土桩的物理强度远大于桩周土的物理强度。桩顶垂直方向刺激的弹性应力波基本沿桩周传播。由于桩底持力层和桩体质量缺陷位置的波阻抗与正常混凝土波阻抗不同,因此: ...

声测管多少钱?解释几个因素 如今,越来越多的制造商生产声测管。主要原因是现实生活中很多地方对声测管的需求逐渐增加,生产行业在快速发展的同时也要满足市场需求。声测管价格影响因素很多。声测管价格贵吗? 如果你想了解声测管的价...

如果从连接方便的角度考虑,一定是最方便的,只要用液压钳压紧,但主要针对薄壁声测管,主要针对厚壁,因为管道两端提前拉紧,只要拧紧。 声测管连接不如上述两种方便,但成本略低于前两种,连接时需要焊接。 必须根据项目部的设计要求选择哪种...

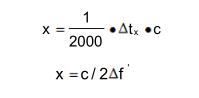
声测管超声波检测常见的基桩动测方式包含低应变力反射面波法、高应变化测法、超声波法、动测法等。超声波法检验基桩因为检验高精度、不会受到桩长、桩径标准限定、检测无盲点等优势,在混凝土基桩检测中运用愈来愈普及化。 其检验原理是对方案...

声测管检测的方法是各式各样的,每一种都能做到不一样的检测目地,为提升检测結果的稳定性降低工程项目安全隐患的存有,需对桩基础开展检测,并对检测全过程中产生的出现异常的桩基础立即做好解决,便于做到作业规定,那麼大家有什么好用的声测管检测方法呢!...

桩基注浆管的铺设逐渐向严寒地域和地震断裂带或深海地域及有酸性气体浸蚀多发区等艰苦环境的地域扩张。针对在大地震地域和不持续冻土层地域铺设的桩基注浆管,规定不但具备高强度,并且具备高可形变性。此外,针对在酸性气体浸蚀自然环境下采用的桩基注浆管也...